页面加载中
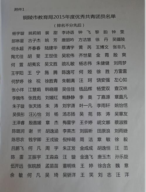
我校2015年度市级、局级共青团工作先进集体和个人通报

近日,根据铜青【20168号文件《关于2015年度全市共青团工作先进集体和先进个人名单的通报》及铜教团【20163号文件《关于2015年度全市教育系统共青团工作先进集体和先进个人名单的通报》内容,现将我校市级获奖情况公布如下:

 

 

上一篇:第十六届铜陵市青少年科技创新大赛有关表格下载 下一篇:2016届高三毕业生团组织关系转接的通知